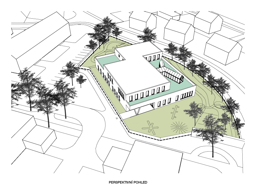
(ČTK) – Osmitisícové Stříbro na Tachovsku postaví kvůli vyššímu zájmu dětí novou mateřskou školu. Patrová budova, která vzešla ze soutěže pěti architektonických studií, přijde zhruba na 40 milionů korun. Vzniknou čtyři třídy pro 112 dětí. Jde o největší letošní investici města. Pokud město uspěje se žádostí o dotaci, měla by být hotová příští rok. ČTK to řekl starosta Karel Lukeš.














